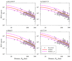
Figure 13. Distance scaling comparisons of KAAH15, SAKY23, Kth22 and CY14 GMM predictions with recorded PGV (peak ground velocity) for reference rock site condition (VS30 = 760 meters per second). Credit: Erdik et al., 2025, CC BY-NC-ND 4.0
Latest posts by Rachel Crowell (see all)

